-
1. 수학적 모델링과 수치해법수치해석 with MATLAB 2019. 10. 14. 20:36
1. 수학적 모델링과 수치해법의 이해
수학적 모델링은, 뉴턴 법칙과 같은 잘 알려진 과학법칙을 이용하여 식(수학적 형태)을 세우는 과정이다.
이 식을 통해 해를 구하는 것이 수치해법이며, 해석해와 수치해 두가지 방법으로 구할 수 있다.
해석해는 미적분 등 수학적 기법을 사용하여 정확한 해를 구하는 방법이다.
하지만 수학적 기법을 통해 정확한 해를 구하지 못하는 수학적 모델들이 현실에선 많이 존재한다.
따라서 수치해를 구하게 되는데 이는 컴퓨터를 이용한 수치적 기법을 사용하여 근사한 해를 구하는 방법이다.
멀리 번지점프 하는 사람이 보인다.
자유낙하 하는 이사람의 속도를 실시간으로 예측해보자.

[참고] https://pixabay.com/photos/bungee-fall-jump-fun-sport-rope-4453636/ 이때 떨어지는 사람에 대해 작용하는 힘은 위 그림에서 보듯 두가지 힘이 존재하는데,

즉, 힘의 총합은 Fd와 Fu 두가지를 더한 것이다. 이 힘을 이용해 F = ma라는 식을 가지고
자유낙하하는 사람의 실시간 속도를 구할 수 있다.

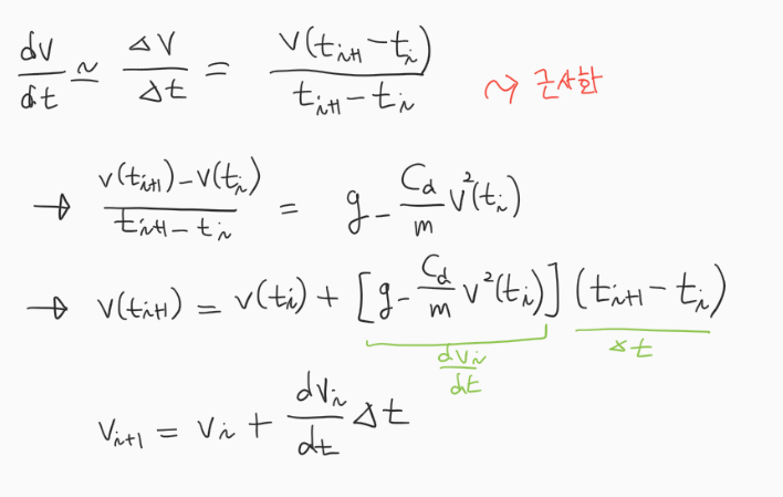
위 속도를 계산할 수 있는 미분방정식이 수학적 모델이다.
이 식을 통해 시간 t일 때의 해석해와 수치해를 구하여 보자
해석해는 미분방정식을 적분하여 다음과 같은 답을 얻을 수 있다.


종단 속도에 이르게 되면, 속도는 거의 일정하게 된다.
이것을 수치적으로 풀게되면, 다음과 같이 정리할 수 있다.


해석해와 수치해를 비교하면 다음과 같은 그래프를 확인할 수 있다. (2초 간격)

[참고] 순천향대, 이상욱교수님 강의 https://www.youtube.com/watch?v=a43dezd74ag&list=PLczEhXyH_pUfKl9SPn-9j3K7olfBj5cpl&index=1
반응형'수치해석 with MATLAB' 카테고리의 다른 글
3. 머신입실론과 반올림오차 (0) 2019.11.02 2. 반올림 오차와 절단 오차 (feat. 진법, bit, byte, 정확도, 정밀도) (0) 2019.10.29