-
R로 그래프 만들기 /ggplot2 패키지 /R 시각화머신러닝 with R 2019. 7. 25. 19:28
R의 장점 중 하나는 시각화와 관련한 다양한 그래프를 표현하는 기능을 포함하고 있다는 것이다.
2차원, 3차원 그래프는 물론 산점도, 상자 도표, 지도 그래프, 네트워크 그래프, 모션 차트, 3D 그래프 등
다양한 함수를 사용하면 만들지 못하는 그래프가 없다.
그래프를 그리는 패키지 중 가장 기본적으로 사용되는 것이 ggplot2이고, 최소한의 설정으로 빠르게 결과물을 만들어 낼 수 있다.
ggplot2는 3가지 레이어 구조로 구성되어 있다.
1) 배경 설정(축 설정)
2) 그래프 추가(점, 막대, 선)
3) 설정 추가(축 범위, 색, 표식 등)
[산점도 그래프 만들기]
산점도(Scater Plot)는 데이터를 x축과 y축에 점으로 표현한 그래프이다.
나이와 소득처럼, 연속 값으로 된 두 변수 간의 관계를 표현할 때 사용한다.
geom_point( ) 라는 함수를 추가해줘 산점도를 표현한다.
mpg 데이터를 이용해 산점도 그래프를 만들어 예를 들어보자.
각 코드를 단계별로 실행해서 plot 창에 그려진 그래프의 변화 모습을 보자.
library(ggplot2) ggplot(data = mpg, aes(x = displ, y = hwy)) #mpg 데이터로 x 축에 displ, y 축 hwy로 지정해 배경 생성 ggplot(data = mpg, aes(x = displ, y = hwy)) + geom_point() #배경에 산점도 추가 ggplot(data = mpg, aes(x = displ, y = hwy)) + geom_point() + xlim(3, 6) # x축 범위를 3~6으로 지정 ggplot(data = mpg, aes(x = displ, y = hwy)) + geom_point() + xlim(3, 6) + ylim(10, 30) # x축 범위를 3~6, y축 범위를 10~30 으로 지정그럼 앞에서 사용했던 qplot() 함수와 ggplot() 함수의 차이점은 무엇일까?
qplot( )은 주로 전처리 단계에서 데이터 확인용으로 문법이 간단하면서 기능도 단순하다.
ggplot( )은 최종 보고용으로 많이 사용되며, 그래프의 색이나 크기, 폰트 등 세부 조작이 가능하다.
[막대그래프]
막대그래프(Bar Chart)는 데이터의 크기를 막대의 길이로 표현한 그래프이다. 성별 간 소득 차이처럼 집단 간의 차이를 표현할 때 주로 사용한다.
geom_col( ) 과 geom_bar( ) 이 있는데 전자는 평균값을 막대 길이로 표현할 때 사용하고,
후자는 값의 개수 즉, 빈도를 막대 길이로 표현할 때 사용한다.
library(dplyr) df_mpg <- mpg %>% group_by(drv) %>% summarise(mean_hwy = mean(hwy)) df_mpg ggplot(data = df_mpg, aes(x =drv, y = mean_hwy)) + geom_col() #1번 ggplot(data = df_mpg, aes(x = reorder(drv, -mean_hwy), y = mean_hwy)) + geom_col() #2번 #mean_hwy의 크기가 큰 것부터 drv가 정렬됨 ggplot(data = mpg, aes(x = drv)) + geom_bar() #x축 범주 변수, y축은 빈도 (drv의 빈도가 y값) #3번 pplot(data = mpg, aes(x = hwy)) +geom_bar() #x축 연속변수, y축 빈도 #4번

1번 2번 그래프 

3번 4번 그래프 [선 그래프]
선 그래프(Line Chart)는 데이터를 선으로 표현한 그래프이며,
일정 시간 간격을 두고 나열된 시계열 데이터(Time Series Data)를 선으로 표현한 시계열 그래프(Time Series Chart)가 포함된다. 환율이나 주가지수 등 경제 지표가 시간에 따라 어떻게 변하는지 표현할 때 활용된다.
ggplot(data = economics, aex(x = date, y = unemploy)) + geom_line()
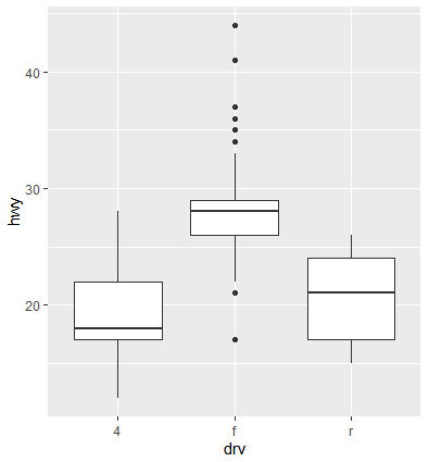
[상자 그림]
상자 그림(Box Plot)은 데이터 분포를 직사각형의 상자 모양으로 표현한 그래프로, 분포를 알 수 있기 때문에 평균만 볼 때보다, 데이터의 특성을 좀 더 자세히 이해할 수 있다.
ggplot(data = mpg, aes(x = drv, y = hwy) +geom_boxplot()
상자그림 값 설명 상자 아래 세로선 아래 수염 하위 0~25% 내에 해당하는 값 상자 밑면 1사분위수(Q1) 하위 25% 위치 값 상자 내 굵은 선 2사분위수(Q2) 하위 50% 위치 값 (중앙값) 상자 윗면 3사분위수(Q3) 하위 75% 위치 값 상자 위 세로선 윗수염 하위 75~100% 내에 해당하는 값 상자 밖 점 표식 극단치 Q1, Q3 밖 IQR을 벗어난 값 ** IQR = 사분위 범위(Q1~Q3간 거리) × 1.5
반응형'머신러닝 with R' 카테고리의 다른 글
R 머신러닝 지도학습의 모형 성능 평가 (0) 2019.08.07 앙상블(Ensemble) 모형 / Bagging과 boosting (0) 2019.07.28 R 데이터 마이닝 '의사결정 나무 (Decision Tree)'란? (5) 2019.07.23 R 기계학습 모델링 기법 및 알고리즘 (지도학습, 비지도학습, 분류모델, 추정모델, 군집모델, 연관성 모델) (0) 2019.07.22 R 데이터 정제/ 결측치 및 이상치 제거하기 (0) 2019.07.18